
Inspiriert von einer kürzlich veröffentlichten Pressemitteilung zu Gehaltsdaten Q4 2024. Alle konstruktiven Feedback willkommen 🙏
https://medium.com/@thomascgeorgiou/headline-vs-reality-what-cyprus-salary-data-really-tells-us-57fe1dd02510
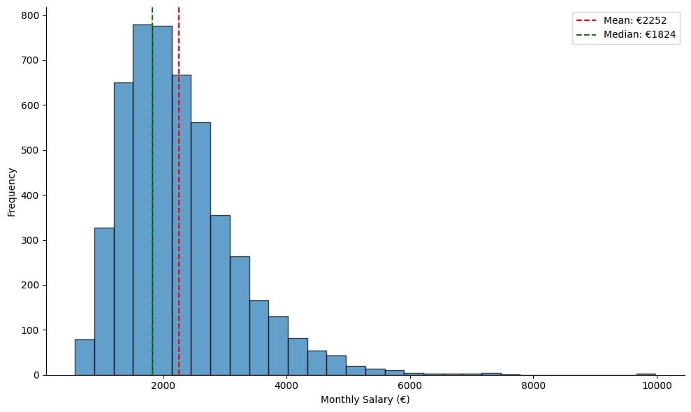
Von Climbingwithdata
10 Kommentare
Thank you for putting this together!
This is a good write up, it shows exactly why people who have been using the „average“ to show that somehow Cypriots are fine with their earnings are not doing it truthfully. Of course anyone who has even the slight understanding of statistics could have pointed that out, but it’s nice that some articles elect to dive deeper than the usual stern description of the graphics being shown.
That being said, I am wondering about how long can these „financial“ and „information“ sectors sustain themselves, especially with the way AI has been taking over most of the low-end jobs in said sectors. I struggle to believe that developers who were the absolute necessity a decade or so back, are still in such high demand nowadays when every other person has at least some sort of degree in IT/IT-adjacent, and when more and more organisations elect to go full AI (completely idiotic but that’s another issue entirely). Just taking a very shallow dive into the numbers, you see financial and IT sectors making more than double the average salary, almost triple the mean salary and by observing the salary distributions you see that they aren’t exactly a minority in Cyprus either. How much do we think this can be sustainable in the future? And what would be response of a sector that will be becoming increasingly saturated with more and more people getting degrees/qualifications in those fields and without even touching the rapid migration of people from EU countries (and even USA/3rd world countries) who elect to work in Cyprus due to tax benefits who are in their vast majority opting to work in these sectors?
Is the Cypriot society ready for these inevitable changes in the not so distant future? Like, are we as people living in Cyprus/parents of kids that are pushing or urging our children to join finance and IT, ready for the oversaturation of the job market? Surely if this keeps up we are in danger of having a society that runs on 2 different gears and one which people outside these sectors will likely be in a massive disadvantage in the future. The public sector has so far managed to hold this chasm from being open, but I don’t know how much longer it can hold, especially with no real way for young people to enter it and with more and more cuts in the public budget happening.
Thank you for bringing a dose of sobriety in the illusion the powers at be try to portray.
Nice. I would use less ChatGPT though.
Unless the whole emojis in the article was your idea, I’ve seen ChatGPT loves to use them.
Tldr
Finally some good statistics, thanks for writing this.
Regarding men vs women salaries, are they adjusted for the hours worked? Or is there no such information available?
That’s a terrific job! Please send it to our media. It’s ridiculous that they don’t do this, and they just eat whatever BS the government throws at us. It has been so surreal hearing the gov say how good we are and how much progress was made. Everyone was thinking, are we living in a different country?
Τούτο το medium εξαναειπαν μου το. Τι λέει; Σε τι είναι χρήσιμο;
Very informative! Thanks!
They know people are angry and getting angrier – I’m not sure they know that these types of „spins“ further infuriate us.
And they also show that they think we’re idiots.
Great article, thank you for unequivocally proving their a bunch of worthless a$$holes