
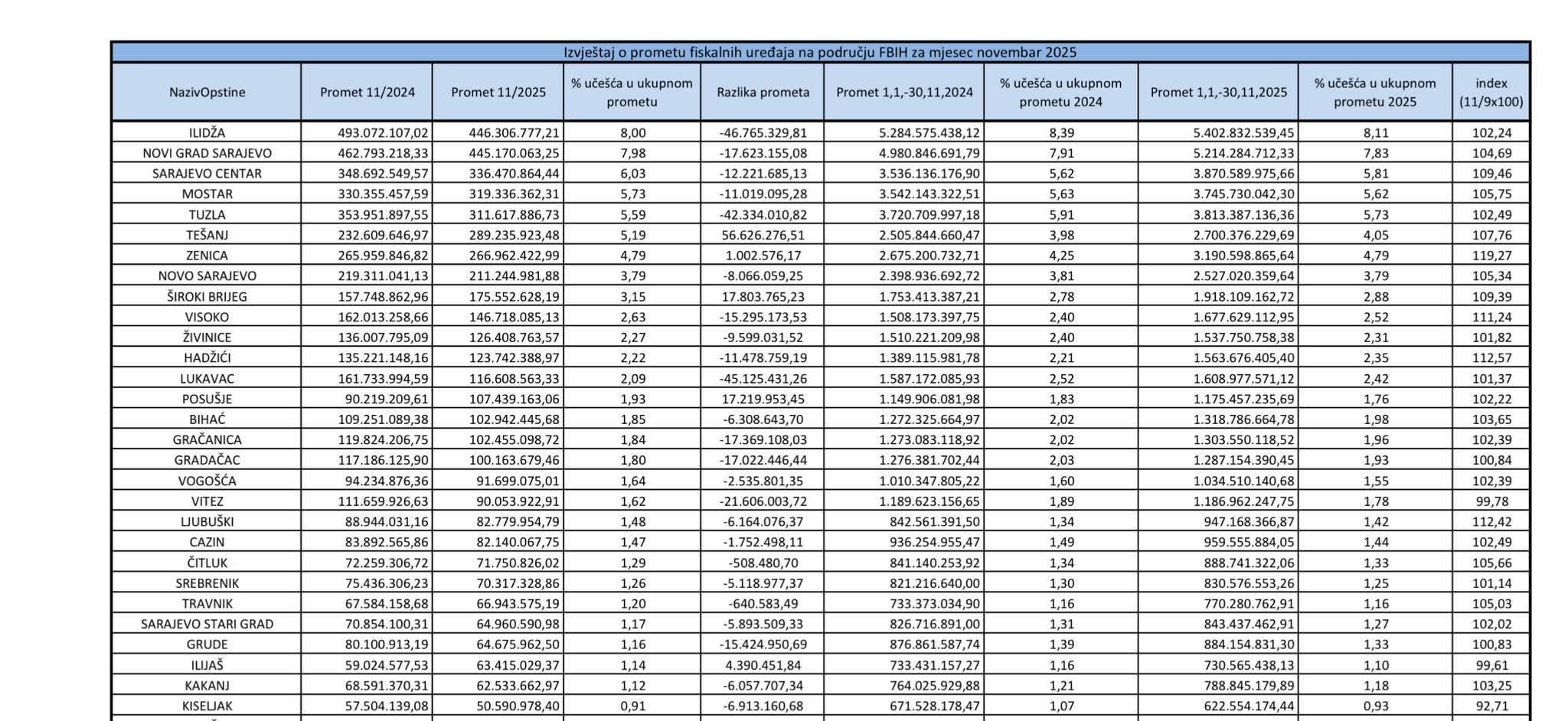
Der Steuerumsatz in der Föderation Bosnien und Herzegowina ging im November dieses Jahres nach offiziellen Angaben der Steuerverwaltung von Bosnien und Herzegowina im Vergleich zum November 2024 um 325 Millionen KM zurück, trotz erheblicher Inflation und Preissteigerung bei allen Waren und Dienstleistungen.
Die Ergebnisse der einzelnen Gemeinden können der Tabelle sowie dem folgenden Link der Steuerverwaltung entnommen werden:
Ilidža – 46,7 Millionen Kilometer neue Stadt Sarajevo. – 17,6 Millionen KM Centar – 12 Millionen KM Tuzla – 42,3 Millionen KM Novo Sarajevo – 8 Millionen KM Visoko – 15 Millionen KM Živinice. – 9 Millionen KM Hadžići – 11 Millionen KM Lukavac. – 45 Millionen KM Gračanica – 17 Millionen KM Gradačac – 17 Millionen KM usw…
https://i.redd.it/lrfcezxovj8g1.jpeg
Von RisingTensionz
15 Kommentare
Do cega je u pm
https://www.klix.ba/biznis/privreda/novembarski-pad-fiskalnog-prometa-u-fbih-od-325-miliona-km-stezu-li-gradani-kais-ili-je-kriva-neradna-nedjelja/251221041
Kolkko vidim vecina je u plusu YTD malo je clickbait tema.
JAI?
Dobro i sta sad? Objasni.
Ma nebitna tema, hajde bolan – ima li kakva utakmica negdje? Sta Dodik priča? Hoce li Rusija napasti EU? Ovo sto je OP postavio – sitnica, nista to
Možda narod više neće da plaća čokolade po 3-4 marke i pileći sendvič od 9 maraka
Da a broj zaposlenih za 5000 cini mi se.
Kada se uzme u obzir masovno zaposljavanje u Javnom sektoru u prerhodnom periodu dolazi se do zakljucka da je doslo do veceg broja pada radnih mjesta u realnom sektoru – u sustini od onog opstaje drzava.
Dakle :
Neradna nedjelja – udaris na trgovine
Zabrana pusenja – udaris na kafice-devastiras sve manje kafanice i cafe barove.
Dignes min placu za skoro 400 km preko noci – devastiras sve manje obrte isl.
Evo i sada ide povecanje osnovica za obrtnike za od 50-150 KM.
Jbg hoces da ti Nermin Niksic i Toni i ekipa vode drzavu.
Sigurno do nedelje? Jelde da je nedelja?
Sace 2026. da nam svane s EZDEO, norod zna
Fiskalni promet u 2024. Za FBiH za prvih 9 mjeseci iznosi 50.68 milijardi KM, dok za 2025 iznosi 53,79 mlrd KM.
Za RS promet za prvih 9 mjeseci u 2024. Promet iznosi 8,56 mlrd, dok za 2025. Iznosi 14,78 mlrd, porast od 73% (razlog je vjerovatno elektronska fiskalizacija, koju FBiH jos nije uvela)
A mislili smo ne moze gore od Dilfasa 😂
Nedjelja garant?
Ima li u ovoj državi iko oči ili svaka glupost koju neko provali postaje udarna vijest/istina. Pa na istoj ovoj tabeli je prikazan rast fiskalnog prometa u prvih 10 mjeseci ove godine za 3600 miliona KM, ali udarna vijest je da je u novembru u odnosu na prošli novembar smanjena za 325 miliona.
Postoji li ijedan ekonomista u ovoj državi ili samo ovi kvazi neoliberali, slobodno tržište, rad 367 dana godišnje, 13 sati dnevno.
Poredjenja radi, projekat juzne interkonekcije bi kostao od 300 do 400 miliona 🙂 Puno hvala Hasecicu za sakacenje ekonomije FBiH